Kemijska razvrstitev psihedelikov

Uvod

Razvrščanje psihedelikov po kemijsko-strukturnih značilnostih ne bi imelo nekega praktičnega pomena, če takšnega razvrščanja ne bi bilo možno vsaj površno povezati s psihofarmakološkimi ali drugimi pomembnimi značilnostmi posamezne skupine. Nekaj takšnih povezav se za silo lahko najde, pa čeprav ne veljajo nujno za vse učinkovine v skupini. Nekakšne »uradne« razvrstitve zaenkrat še ni in tu predstavljena razvrstitev ni edina možna. 


Hitri tečaj o kemijskih simbolih

A začnimo najprej z nekaj osnovami kemije in o tem kako razumeti shematske prikaze kemijskih struktur. Učinkovine so snovi, katerih osnovni gradniki so jasno definirane molekule s specifično molekularno strukturo. Takšnim snovem rečemo spojine. Vsi psihedeliki so organske spojine, takšni pa so tudi skoraj vsi halucinogeni (izjema je recimo didušikov oksid, t.i. smejalni plin). Kot organske spojine imajo osnovni skelet iz ogljikovih atomov, ki so med seboj povezani s kovalentnimi molekularnimi vezmi. Na te ogljikove atome (C) so prek kovalentnih vezi vezani vodikovi (H), kisikovi (O), dušikovi (N) ali drugi atomi. V organski kemiji ogljikove skelete iz praktičnih razlogov rišemo poenostavljeno, kot s kratkimi daljicami povezana ogljišča ali končišča. Daljica ponazarja enojno molekularno vez (−), oglišča in končišča pa C atome (teh zato ni potrebno risati). Dvojne in trojne molekularne vezi se riše kot dvojne (=) ali trojne daljice (≡). Nekatere aromatske sisteme kjer je položaj dvojnih vezi nedoločljiv, lahko rišemo tudi s krogom obdanim s šestkotnikom ali petkotnikom, ki predstavlja šest oziroma pet ogljikovih (C) ali drugih atomov, medsebojno povezanih izmenično z enojno in dvojno vezjo (recimo benzenski aromatski sistem, ki je del molekul praktično vseh psihedelikov in je v tem prispevku risan z lokaliziranimi dvojnimi vezmi). 

Za potrebe tega prispevka bomo uporabljali nekoliko poenostavljene planarne strukture. V teh se atome vodikov vezanih na ogljike običajno ne riše, ampak se jih obravnava kot implicitne (izjema so primeri kjer se ponazarja stereokemijsko konfiguracijo). Piše pa se oznake vseh ostalih atomov (tkim. heteroatome) in vodike vezane nanje, pogosto na še dodatno poenostavljen način, kot tako imenovane funkcionalne skupine (npr, −OH kot hidroksi skupina, −NH2 kot amino skupina, −COOH kot karboksi skupina, −OCH3 kot metoksi skupina, ipd.).

Razvrstitev

Če se torej za namene razvrstitve vzame najosnovnejše skelete ogljikovih atomov si lahko privoščimo naslednjo osnovno kemijsko razvrstitev psihedeličnih učinkovin (s po dvemi tipičnimi predstavniki):

  1. fenetilamini:

  • preprosti fenetilamini (meskalin, 2C-B)

  • aromatsko substituirani amfetamini (DOB, TMA-2)

  • 2-(benzodifuranil)etilamini (2CB-FLY, »Bromo-Dragonfly«)

  • 1-fenil-2-butanamini (4C-DON, 4C-DOB)

  • ostali spremenjeni na stranski verigi: β-metoksifenetilamini, 2-fenil-1-aminociklopropani, benzociklobutanmetilamini, idr. (BOB, TCB-2).

  1. triptamini:

  • preprosti triptamini (DMT, DIPT)

  • aromatsko substituirani triptamini (5-MeO-DMT, psilocibin)

  • α-metiltriptamini (AMT, 5-MeO-AMT)

  1. ergolini (ergin, LSD)

  2. N-benzilfenetilamini (25C-NBOMe, 25I-NBOMe)

  3. neuvrščeni

Podroben pregled strukturnih skeletov nam pokaže, da lahko ergoline obravnavamo hkrati kot fenetilamine in triptamine, saj se v njihovem skeletu skrivata oba strukturna tipa. Ker pa so ergolini nekaj posebnega v marsikaterem pogledu, jih je najbolj smiselno razvrstiti v lastno skupino. Prav tako je N-benzilfenetilamine bolj smiselno razvrstiti posebej, kljub temu da temeljijo na fenetilaminskem strukturnem ogrodju, saj gre za precejšnjo strukturno in kvalitativno nadgradnjo.

FENETILAMINI

Meskalin (kemijsko 3,4,5-trimetoksifenetilamin) je klasični predstavnik psihedeličnih fenetilaminov in tudi edini, ki ga najdemo v naravnih virih. Prisoten je v približno ducatu vrst kaktusov, a le v nekaj od teh v uporabnih koncentracijah. Dve ali tri vrste kaktusov se tradicionalno še vedno uporabljajo v enteogene namene: pejotl (Lophophora williamsii), »San Pedro« oz. kaktus sv. Petra (Echinopsis pachanoi) in občasno tudi druge Echinopsis vrste (npr., E. peruviana). Vsi ostali psihedelični fenetilamini so človeški izumi.

Beseda fenetilamin je okrajšano ime za 2-feniletanamin (tudi 2-feniletilamin oz. β-feniletilamin; v uporabi je oznaka PEA). Ta osnovna spojina kot takšna nima biološke aktivnosti. Šele ustrezne substitucije ustvarijo spojine, ki imajo psihedelične ali drugačne učinke. Strukturne spremembe, ki določajo psihedelično delovanje fenetilaminov imajo nekaj osnovnih zakonitosti. Na benzenovem obroču morajo biti substituente, skoraj brez izjem najmanj ena metoksi skupina, najpogosteje pa dve (npr. na položajih 2 in 5). Na položaju 4 mora biti substituenta določenih lastnosti (čim manj polarna in omejene velikosti). Substitucije na amino skupini za več desetkrat oslabijo delovanje ali ga popolnoma izničijo (z izjemo določenih benzilnih in sorodnih skupin; glej N-Benzilfenetilamini). Substitucija z metilno skupino na α položaju daje amfetaminski tip fenetilaminov, ki so načeloma močnejši (glej Substituirani amfetamini), substitucija z etilno skupino pa spremeni kakovost delovanja (glej 1-Fenil-2-butanamini). Sprejemljive so še nekatere vrste sprememb strukture.

Fenetilaminski skelet je sicer pogosto strukturno ogrodje v raziskovanju kemije zdravil in je tudi osnova mnogim pomembnim zdravilnim učinkovinam. Eden od razlogov je v tem, da so tudi nekateri živčni prenašalci (dopamin, noradrenalin) in hormoni (adrenalin) v svoji osnovi fenetilamini. Tudi serotonin in histamin sta v določenih vidikih sorodna fenetilaminom (vsi so 2-ariletilamini). Vezavno mesto teh živčnih prenašalcev na pripadajočih receptorjih lahko veže molekule z določeno sorodno strukturo. Hkrati so tudi ti receptorji, ki so beljakovinski kompleksi, medsebojno evolucijsko povezani in strukturno sorodni. Po svoje zato ni tako zelo presenetljivo, da se tudi med fenetilamini najdejo številni, ki se dokaj selektivno vežejo na 5-HT2A podtip serotoninskih receptorjev in imajo lahko psihedelično delovanje. 

Preprosti fenetilamini

Alexander Shulgin je po vzgledu meskalina sintetiziral množico strukturno sorodnih spojin in jih raziskoval z biološkim testiranjem na sebi (glej PiHKAL). Ko je preveril varnost in delovanje, je te spojine testiral skupaj z manjšo skupino zainteresiranih prostovoljnih raziskovalcev. Na ta preprost a zanesljiv način je odkril številne teoretične zakonitosti o povezavi med molekularno strukturo in aktivnostjo psihedeličnih fenetilaminov (tkim. structure-activity relationship, SAR). Najprej je odkril, da zamenjava (substitucija) vodika na α položaju meskalina z metilno skupino (−CH3) podvoji jakost. Tako je dobil najbližji psihedlični sorodnik meskalina, 3,4,5-trimetoksiamfetamin (Shulginova oznaka: TMA). Iz te veje raziskovanja je kasneje izšla bogata serija psihedeličnih amfetaminov.

Odkril pa je tudi, da zamenjave 4-metoksi skupine meskalina z nekaterimi drugimi skupinami še bolj povečajo jakost. Iz te veje je zrasla serija "x-skalinov": eskalin, proskalin, izoproskalin, propinil, AL, MAL, CPM, dezoksi, TP, 4-TM, 4-TE in drugi. Zamenjave 3-metoksi skupine meskalina, ali 3 in 4-metoksi skupine hkrati, tudi dajejo serijo psihedelikov, ki pa so le izjemoma močnejši od meskalina (3-TM, ASB, 4-TASB, 3-TASB, 3-TE, 5-Br-DMPEA in drugi).

Iz izkušenj pri psihedeličnih amfetaminih je Shulgin odkril, da je najoptimalnejša porazdelitev substituent na fenilnem obroču dejansko 4-x-2,5-dimetoksi substitucija (kjer je x manjša hidrofobna skupina, recimo alkilne skupine ali halogeni, idr.). Ko je to spoznanje prenesel nazaj na preproste fenetilamine, je ustvaril mogoče najboljše znane psihedelike, tkim. 2C-x serijo: 2C-D, 2C-E, 2C-P, 2C-C, 2C-B, 2C-I, 2C-T-2 in drugi 2C-T-n, in številni drugi. Ti so lahko precej močni (večinoma 15-30 mg). Čas delovanja je neznačilen. Nekateri so precej dolgotrajni (npr. 2C-P, 10-16 h), drugi spet presenetljivo kratkotrajni (npr. 2C-B, 4 h).

Zamenjava ene od dveh metoksi skupin na položajih 2 ali 5 pri 2C-x seriji vodi do tako imenovane tweetio serije (tvitio). To serijo je najintenzivneje raziskoval Darrell Lemaire. Njegova skupina preizkuševalcev je te učinkovine uporabljala predvsem le na nizkem nivoju intenzivnosti kot ojačevalce ustvarjalnih in intelektualnih sposobnosti (na nivoju mikrodoziranja in minidoziranja), oziroma kot nekakšne nootropike. Za te namene so se mnoge učinkovine iz te serije odlično obnesle (2CD-5EtO, 2CT2-2-EtO, 2CT2-5-EtO...). Čeprav so odkrili tudi njihove šibke psihedelične učinke pri višjih odmerkih, se za te spojine domneva, da ne zmorejo ustvariti intenzivnih psihedeličnih stanj, saj se intenzivnost izkušnje ne povečuje znatno z večanjem odmerka.

Aromatsko substituirani amfetamini

Ko sliši besedo "amfetamini", večina ljudi najprej pomisli na dobro znani poživili amfetamin in metilamfetamin, a beseda sama je nastala kot okrajšava za α-metilfenetilamin. Amfetamini so torej vsi fenetilamini, ki imajo vodik na α položaju zamenjan z metilno skupino. Poleg dveh slavnih poživil imajo amfetaminski skelet še številne zdravilne učinkovine, na primer efedrin, ki je ena najstarejših zdravilnih učinkovin znanih ljudem (prisotna v zelišču efedri), pa tudi učinkovite sodobne zdravilne učinkovine kot sta bupropion in selegilin. Zaradi hkratne metabolične odpornosti in strukturne sorodnosti z monoaminskimi živčnimi prenašalci, je med amfetamini veliko psihoaktivnih učinkovin. SAR teorija za strukturne skupine amfetaminov s posameznim mehanizmom delovanja je običajno popolnoma drugačna in se le redko prekriva. Med drugim, je tudi klasični empatogen MDMA substituiran amfetamin. Na posebne načine substituirani amfetamini so tudi številni psihedeliki.

Skupine psihedeličnih amfetaminov se najlaže razlikujejo glede na vzorec aromatske substitucije, to je zamenjave vodikovih (H) atomov na benzenovem obroču z drugimi kemijskimi skupinami. Najpogostejši vzorec je 4-x-2,5-dimetoksi substitucija, ki definira DOx skupino amfetaminov (ta je homologna 2C-x skupini fenetilaminov). Predstavniki te skupine so dolgoživi (>8 h) in po odmerku močni psihedeliki (2-50 mg). Tipični predstavniki so DOB, DOM, DOI, DOC, TMA-2, MEM, Aleph serija, DON in DOET. Po kakovostih se na splošno lahko kosajo z 2C-x skupino, a njihova dolgoživost omejuje njihovo uporabo.

Klasično »meskalinsko« 4-x-3,5-dimetoksi substitucijo pri amfetaminih predstavlja nekaj manj znanih psihedelikov, kot so TMA (ki je homolog meskalina), 3C-E, 3C-P in 3C-BZ. Ti so po odmerku precej šibkejši od DOx skupine (30-250 mg) in raznoliko dolgoživi (> 6 h).

Obetavna je tudi Ψ skupina (grška črka »psi«), ki temelji na 4-x-2,6-dimetoksi substituciji. Žal sta pretežno raziskana le dva predstavnika, Ψ-DOM in TMA-6.

Nekateri izvenserijski vzorci substitucije so tudi učinkoviti. Na primer, 1,2,3-trojno substituirani amfetamini (MMDA-3a) ali pa analogi TMA kjer sta sosednji metoksi skupini združeni v 1,3-dioksolni obroč (MMDA-2, MMDA). Tudi več kot trikrat substitutirani amfetamini so lahko psihedeliki in med takšnimi se najde nekaj zanimivih. Na primer, na položaju 3 substituirani DOx analogi (GANESHA, G-5, DMMDA, TA).

1-Fenil-2-butanamini

Gre za peščico 1-(2,5-dimetoksifenil)-2-butanaminov substituiranih na položaju 4 (tudi imenovan para položaj). S kemijskim izrazoslovjem gre za homologe DOx skupini, zato se zanje uporablja 4C-DOx format oznak ("4C" od štirih ogljikih v butanaminski stranski verigi). Na primer, 4C-DOB je homolog DOB (čeprav bi bilo mogoče primerneje 4C-x, npr. 4C-B). Učinkovine iz te skupine, ki so jih raziskovalci testirali na sebi in so preverjeno psihedelični so 4C-DOC, 4C-DOB, 4C-DOI, 4C-DON, 4C-DOM (Ariadne), 4C-DOET in 4C-DOPR. Po odmerku je od teh najmočnejši 4C-DON (40-80 mg), ostali so do dvakrat ali trikrat šibkejši. Znatno se razlikujejo tudi kvalitativno, čeprav imajo določene skupinske značilnosti. Kot tudi večino fenetilaminov, je tudi prvih nekaj psihedeličnih 1-fenil-2-butanaminov izumil Alexander 'Sasha' Shulgin, vendar jih je raziskal le pri subpsihedeličnih odmerkih. Šele ob začetku tisočletja je njihovo psihedelično delovanje odkril anonimni amaterski raziskovalec.

Ta zelo malo znana skupina psihedelikov ima velik terapevtski potencial. V primerjavi z ostalimi psihedeliki je njihov učinek neobičajno bolj ekstrovertirano psihedelično stanje. Omogočajo empatično povezanost z drugimi ljudmi tudi v psihedeličnem stanju, kar je zanimiva kombinacija učinkov, saj daje močan občutek »telepatskih sposobnosti« (oz. razumevanja in sočustvovanja). Prav zato bi bili morebiti zelo uporabni za s psihedeliki asistirano psihoterapijo, predvsem za psiholitični tip terapije.

2-(Benzodifuranil)etilamini

Gre za strukturno spremembo 2C-x in DOx spojin na osnovi strategije, ki jo v kemiji zdravil imenujejo omejitev konformerije (angl. conformational restriction). Z vključitvijo dveh metoksi skupin v ciklično in nefleksibilno strukturo dihidrofuranskega ali furanskega obroča se vezavna sposobnost tovrstnih spojin na serotoninski 2A receptor zelo okrepi, zato so 2-(benzodifuranil)etilamini zelo močne učinkovine, ki lahko povzročajo psihedelično stanje pri odmerkih celo nižjih od 1 mg. Izumil jih je David Nichols s svojo ekipo raziskovalcev.

Predvsem učinkovine iz x-DFly serije (dragonflies) so izjemno močne in potrebujejo le nekaj sto mikrogramov za polno psihedelično delovanje (npr. bromo-dragonfly). Imajo pa tudi izrazitejše vazokonstrikcijske stranske učinke in temu ustrezno predstavljajo za neusposobljenega uporabnika tudi izjemno smrtno nevarnost. Zaradi svoje izjemne jakosti se je kmalu po pojavu B-DFly na sivem trgu zgodilo nekaj nesreč s smrtnimi izidi. V večini primerov je šlo za napačno označevanje učinkovine na sivem trgu, zaradi česar so si uporabniki odmerili več desetkrat previsoke odmerke. Po tem so trgovci sami umaknili B-DFly iz ponudbe. Ker takšnim trgovcem ni za zaupati, je zato edino smiselno, vsako kupljeno učinkovino najmanj previdno »titrirati« (če je že ne zmoremo analizirati vsaj z barvnimi reagenti ali z določitvijo tališča).

Ostali fenetilamini spremenjeni na stranski verigi

Spremembe na »stranski verigi« (etilaminski skupini) vodijo do novih skupin psihedelikov. Poleg uvedbe α-metilne in α-etilne skupine, s čemer dobimo amfetamine oziroma 1-fenil-2-butanamine, se pri osnovnih fenetilaminih tolerira uvedba metoksi skupine na β položaj. Takšna sprememba daje β-metoksifenetilamine od katerih sta vsaj dva raziskana na ljudeh (BOD, BOB). Zanju je značilna podobna jakost, a nekoliko večja telesna obremenitev od izvornih fenetilaminov. Te spojine sta odkrila in raziskovala Darrell Lemaire in Alexander Shulgin.

Sprememba etilaminske skupine v ciklopropilaminsko skupino daje trans-2-fenil-1-aminociklopropane od katerih je le eden še kar raziskan na ljudeh (DMCPA), čeprav testiranja vezave na serotoninske 2A receptorje tudi za več drugih nakazujejo, da so najverjetneje psihedeliki.

Konformacijska omejitev etilaminske stranske verige z v benzenskemu obroču prikondenziranem ciklobutanom ali ciklopentanom prav tako daje močne psihedelike (predvsem ciklobutanska različica). Ciklobutanske različice je odkril Thomas McLean pod mentorstvom Davida Nicholsa. Tipični predstavnik je TCB-2, ki je ciklobutanska različica 2C-B.

TRIPTAMINI

Med psihedeličnimi triptamini, ki jih najdemo v naravi so N,N-dimetiltriptamin (DMT), 5-metoksi-N,N-dimetiltriptamin (5-MeO-DMT), psilocibin in in psilocin (glej tudi Ergolini). Sam triptamin ni psihedelik, saj se prehitro presnovi. Načeloma je potrebna dvojna substitucija na aminski skupini, da triptamini delujejo. Najpreprostejša takšna substitucija je z dvema metilnima skupinama, kot pri DMT, tolerira pa se še nekaj drugih preprostih alkilnih skupin (etilna, propilna, izopropilna, ipd.). Iz tovrstnih strukturnih sprememb dobimo skupino preprostih triptaminov.

Nekatere spremembe strukture na tako imenovanih aromatskih položajih (zamenjave vodikov na indolskem sistemu) dajo nove psihedelike, v nekaterih primerih večkrat močnejše (npr. 5-metoksi substitucija). Nekatere substitucije sicer izničijo psihedelično delovanje (npr. na položajih 2 in 6). Takšne spremembe dajo skupino aromatsko substituiranih triptaminov, med katerimi najdemo tudi 5-MeO-DMT, psilocibin in psilocin.

Substitucija triptamina na α položaju stranske verige, daje α-metiltriptamin (AMT), ki je odporen pred encimsko presnovo in ima mešan mehanizem delovanja, tako da je nekaj med psihedeliki, empatogeni in poživili. Med analogi AMT pa je tudi 5-metoksi-α-metiltriptamin (5-MeO-AMT), ki je izjemno močan psihedelik. Te dve in podobne učinkovine tvorijo skupino α-alkiltriptaminov.

Psihedelični triptamini so v primerjavi z fenetilamini precej manj selektivni ligandi na serotoninski 2A receptor. Znatno afiniteto imajo tudi na 5HT1A in druge serotoninske receptorje, α-alkiltriptamini pa imajo za povrh še dodatne mehanizme delovanja, ki jih naredijo za bolj tvegane. Vse to tudi vpliva na kakovostne razlike delovanja.

Serotonin, ki je endogeni živčni prenašalec za 5HT2A receptorje je tudi sam po sebi substituiran triptamin (5-hidroksitriptamin). Zaradi strukturne sorodnosti je med triptamini veliko psihedelikov in tudi ligandov na številne druge serotoninske receptorje (recimo zdravilne učinkovine, kot so sumatriptan, zolmitriptan in eletriptan). 

Preprosti triptamini

Najpreprostejši psihedelični triptamin je DMT. Hkrati je tudi eden najbolj nenavadnih, saj deluje le 5-10 min, a z neverjetno intenzivnostjo in kakovostjo. DMT ni oralno aktiven, saj ga encimi monoaminooksidaze A prehitro presnavljajo (od tod kratkotrajnost tudi pri uporabi z vaporiziranjem). Ob prisotnosti učinkovin, ki zavirajo te encime, pa postane aktiven tudi oralno (npr. v kombinaciji z ajavasko). DMT je najpogostejši psihedelik v rastlinskem svetu, saj ga proizvaja na ducate vrst.

Že prva homologacija, se pravi podaljšanje ene od metilnih skupin z etilno vzpostavi dovolj odpornosti proti presnovi, da nova učinkovina metiletiltriptamin (MET) deluje oralno. Nadaljnje takšne spremembe dajo učinkovine dietiltriptamin (DET), dipropiltriptamin (DPT), etilizopropiltriptamin (EIPT), metilizopropiltriptamin (MIPT), diizopropiltriptamin (DIPT), dialiltriptamin (DALT) ter še nekaj preprostih psihedeličnih triptaminov. Medtem ko sta MET in DPT še vedno zelo »vizualna« psihedelika, sta MIPT in EIPT skoraj izključno »mentalna«, se pravi da proizvedeta predvsem le miselne vzorce značilne za psihedelično stanje. DIPT je glede tega podoben, a ima še svojo posebnost v nenavadnem učinku na slušno zaznavanje.

Aromatsko substituirani triptamini

Uvedba metoksi skupine na položaj 5 ali hidroksi skupine na položaj 4 načeloma privede do nekajkrat močnejših psihedeličnih triptaminov. Tipična predstavnika sta 5-MeO-DMT in psilocin. Psilocibin je fosfatni ester psilocina in smiselno se domneva, da je le tako imenovano »predzdravilo« psilocinu (angl. prodrug), ker se vanj domnevno hitro presnovi s hidrolizo esterske skupine. Od aromatsko substituiranih psihedelikov se v naravi najde še 5-bromo-N,N-dimetiltriptamin (5-Br-DMT) v vrstah morskih spužev, a žal le v sledovih (prevladuje 5,6-dibromo-N,N-dimetiltriptamin, za katerega delovanje ni poznano).

5-Metoksi skupino ima cela serija drugih močnih psihedeličnih triptaminov, ki delujejo pri že nekaj miligramskih odmerkih (5-MeO-MET, 5-MeO-DET, 5-MeO-MIPT, 5-MeO-DIPT, 5-MeO-DALT). Podobno je tudi z 4-hidroksi skupino, ki prav tako daje serijo zanimivih učinkovin (4-OH-MET, 4-OH-DET, 4-OH-MIPT, 4-OH-DIPT). 4-Acetoksi skupina v telesu zlahka hidrolizira v 4-hidroksi skupino, zato se učinkovine s takšno substitucijo lahko obravnava kot predzdravila za 4-hidroksi serijo triptaminov (O-acetilpsilocin).

α-Metiltriptamini

Uvedba metilne skupine na triptamin daje α-metiltriptamin (AMT), ki je zanimiv psihedelik z bolj izrazito poživilno in deloma tudi empatogeno sestavino delovanja. Uvedba aromatskih substituent pri AMT vodi do podobno delujočih učinkovin. Od teh pa je 5-metoksi-α-metiltriptamin (α,O-DMS ali 5-MeO-AMT) predvsem psihedelik in to zelo močan po odmerku (2.5-4.5 mg). Uvedba daljše α-etilne skupine na triptamin skoraj popolnoma izniči psihedelično delovanje in učinkovini (AET) ostanejo v glavnem le stimulativne, empatogene in antidepresivne lastnosti.

α-Alkiltriptamini kot so AMT, AET in nekateri drugi imajo več mehanizmov delovanja. Eden od mehanizmov je sproščanje monoaminskih živčnih prenašalcev. Odtod njihovi dodatni stimulativni in empatogeni učinki. Lahko zavirajo povratek monoaminov v predsinapse in tudi upočasnijo presnavljanje serotonina zaradi inhibicije encimov monoaminooksidaze A. Zaradi vsega tega je njihova uporaba bolj tvegana od bolj selektivno delujočih psihedelikov.

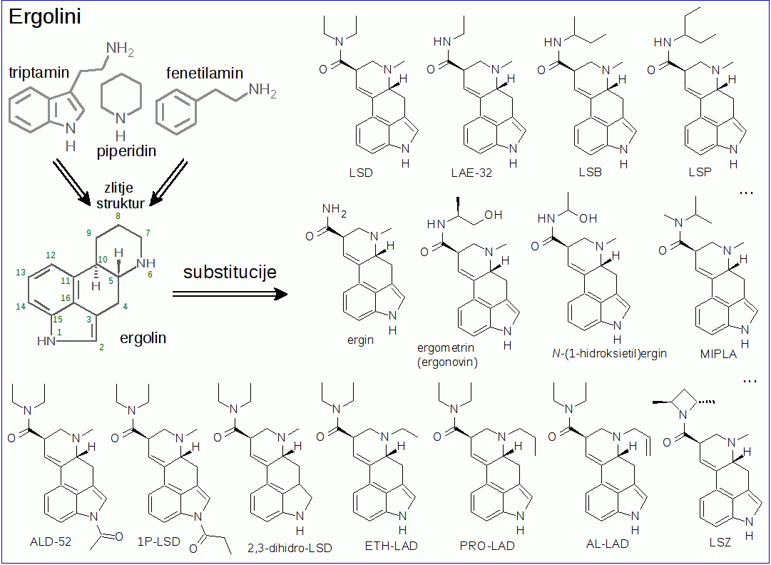
ERGOLINI

Psihedelični ergolini so amidi lizergične kisline in njenih derivatov. Lizergično kislino je možno pridobiti s hidrolizo ergot alkaloidov iz nekaterih vrst strupenih gliv (npr., Claviceps purpurea in C. paspali) ali z dokaj zahtevno totalno sintezo. V naravi prisotni ergolini s psihedeličnim delovanjem so ergin, N-(1-hidroksietil)ergin in ergometrin, njihov uporaben vir pa so semena številnih vrst psihedeličnih slakov (Ipomea violacea, I. Purpurea, Turbina corymbosa, Argyreia nervosa, idr.).

Dietilamid lizergične kisline (LSD) je izumil Albert Hofmann, njegovo psihedelično delovanje pa po naključju odkril nekaj let kasneje. Sintetiziral je tudi številne druge amide lizergične kisline in njenih derivatov, vendar so bili vsi šibkejši, nekateri celo popolnoma nedelujoči. Ostali trije stereoizomeri LSD so bili brez aktivnosti. Druge zelo majhne spremembe strukture LSD tudi lahko izničijo delovanje. Na primer, 9,10-dihidro derivat LSD je že brez učinka, pa gre le za nasičenje ene dvojne vezi, oziroma za dva dodatna vodikova atoma spremembe. Po drugi strani pa 2,3-dihidro derivat LSD še vedno obdrži nekaj aktivnosti, čeprav mogoče zaradi presnove v LSD.

Najpreprostejši možen amid lizergične kisline je ergin. Je glavni delujoč alkaloid v slakovih semenih, a je vsaj 20-krat šibkejši od LSD (vsaj 2-5 mg namesto 100-300 ug). Podobno je tudi ergometrin vsaj 10-krat šibkejši od LSD. A tudi večina drugih amidov lizergične kisline je šibkejših od LSD-ja. Morfolid lizergične kisline je približno 10-krat šibkejši, za njen izopropilmetilamid, 2-butilamid, 3-pentilamid in nekatere druge preproste amide pa se na osnovi in vitro meritev domneva, da so le nekoliko šibkejši od LSD. Od sprememb na amidni skupini, je bilo le za (2S,4S)-2,4-dimetilazetidid lizergične kisline (LSZ) ugotovljeno, da je močnejši od LSD.

N-Acetil-LSD, z oznako imenovan ALD-52, je skoraj tako močan kot LSD (približno 9/10 jakosti). Predvideva se, da gre le za predzdravilo LSD-ja, saj se tovrstni N-acetilindoli zlahka hidrolizirajo, tako da iz ALD-52 po hitri presnovi v telesu domnevno nastane LSD. Podobno velja tudi za N-propanoil-LSD (1P-LSD).

Od sprememb na ergolinski strukturi, se dobro obnesejo zamenjave N-metilne skupine z ostalimi kratkimi alkilnimi skupinami, na primer etilno (ETH-LAD), propilno (PRO-LAD) in alilno (AL-LAD) skupino. V tem primeru nastanejo psihedeliki jakosti primerljive z LSD, ali celo malenkost močnejši.

Navkljub izjemni jakosti je LSD, verjetno pa tudi vsa njegova domnevna predzdravila (ALD-52, 1P-LSD), presenetljivo varen pred predoziranjem. Resne fiziološke zastrupitve z LSD praktično niso zaznane, kljub desetletjem splošne uporabe. To je verjetno posledica dokaj neznatnega fiziološkega delovanja in hkratnega le delnega agonizma na receptorje kar jih varuje pred prekomerno aktivacijo.

N-BENZILFENETILAMINI

Psihedelični N-benzilfenetilamini so dokaj nova skupina. Začelo se je tako, da so Glennon in njegova skupina raziskovalcev leta 1994 z in vitro poskusi opazili, da z N-benziliranjem triptamini pridobijo veliko močnejšo vezavo na 5-HT2A receptor, a hkrati postanejo antagonisti na ta receptor (ga blokirajo). Do leta 2003 je Heim za svojo doktorsko dizertacijo pripravil veliko število N-benziliranih fenetilaminov, triptaminov in drugih spojin, ki imajo vezavo na 5-HT2A receptor. Ugotovil je, da imajo predvsem 2-metoksibenzilni in 2-hidroksibenzilni derivati presenetljivo močno vezavo in hkrati agonistično delovanje, kar pomeni da bi lahko bili izjemno močni psihedeliki. Kmalu za tem je Nicholsova skupina raziskala še več tovrstnih učinkovin.

Kasneje se je izkazalo, da N-(2-metoksibenzil)triptamin in N-metil-N-(2-metoksibenzil)triptamin nimata psihedeličnega delovanja na ljudeh pri podjezični uporabi, najverjetneje zaradi prehitre presnove v nedelujoče metabolite (a preverjena sta le dva od številnih možnosti!). Tudi številni N-benzilfenetilamini ne delujejo pri oralnem zaužitju ali pa delujejo nekajkrat šibkeje. Delujejo pa pri vnosu skozi sluznico, na primer, pri podjezičnem zaužitju ali pri vnosu s kapljicami v nos. S tem se učinkovina izogne prvotni presnovi. Velika večina psihedeličnih N-benzilfenetilaminov je bodisi N-(2-metoksibenzil)fenetilaminov (N-BOMe vrste) ali N-(2-hidroksibenzil)fenetilaminov (N-BOH vrste). Od teh so psihedeliki N-BOMe vrste bolj razširjeni in uporabljani, očitno ker so se znašli na sivem trgu.

Načeloma je tako, da je vsak N-BOMe in N-BOH derivat psihedeličnega preprostega fenetilamina tudi sam psihedeličen in po odmerku močnejši. Na primer, meskalin-NBOMe je približno dvakrat močnejši od meskalina, a najbolj se jakost poveča pri derivatizaciji predstavnikov 2C-x serije (tudi za več kot 50-krat). Že sami po sebi zelo močni 2-(benzodifuranil)etilamini ali benzociklobutanmetilamini (npr. 2C-B-Fly in TCB-2), prav tako postanejo še močnejši (2C-B-Fly-NBOMe oz. TCB-2-NBOMe). Pri psihedeličnih amfetaminih tovrstna derivatizacija v nekaterih primerih sicer daje na človeku delujoče psihedelike, vendar so ti manj raziskani. Zanimivo je mogoče to, da je v mnogih primerih možno z N-BOMe in N-BOH derivatizacijo sicer nepsihoaktivne fenetilamine pretvoriti v zmerno delujoče psihedelike (npr. 24-NBOMe). Poleg tega nista le 2-metoksibenzilna in 2-hidroksibenzilna derivatizacija takšni, da povečata jakost. Obstaja še nekaj drugih možnosti. Zato je število potencialno psihedeličnih N-benzilfenetilaminov dejansko ogromno, verjetno večje od vseh ostalih psihedelikov skupaj.

Med amaterskimi raziskovalci je bilo sicer sintetiziranih in raziskanih vsaj sto novih N-benzilfenetilaminov, od katerih jih je nekaj res kakovostnih psihedelikov. Zaradi varovanja pred nepremišljeno prohibicijsko politiko, podatke o tem zaenkrat zadržujejo v zaprtih krogih, da ne bi prišli v roke trgovcem in na sivi trg. Prohibicija zaradi medijske propagande in uvrstitve učinkovine med droge namreč pripomore k popularizaciji in širjenju neodgovorne uporabe, še posebej med do avtoritet skeptično in manj izkušeno mladino. Tako se te učinkovine, ki bi gotovo morale ostati izključno v rokah izkušenih psihonavtov, lahko znajdejo vsepovsod.

Zaradi izjemne jakosti (veliko jih je aktivnih pri submiligramskih odmerkih) je bilo N-benzilfenetilaminom usojeno, da jih bodo neizobraženi uporabniki zlorabili in kmalu so se pojavile novice o nesrečah zaradi prevelikih odmerkov (tudi s smrtnim izidom!), atipičnih reakcij in seveda množice napadov tesnobe. Težava je tudi v tem, ker se pretežno prodajajo na sivem trgu kot čiste spojine, torej v neformulirani obliki, kar pa pomeni, da uporabniki ne znajo ali ne zmorejo pravilno odmeriti submiligramskih odmerkov in se tako zlahka predozirajo. Nekaj NBOMe derivatov je že prepovedanih, kar prinaša še mnogo hujša tveganja zaradi neoznačenosti in napačne identitete izdelkov na črnem trgu. Formulirani na pivnikih so N-benzilfenetilamini veliko varnejši, vsaj kar se tiče predoziranja. A vendarle so pri določenih N-benzilfenetilaminih atipični zapleti znani tudi pri uporabi takšne formulacije (npr. 25I-NBOMe).

Oznake N-benzilfenetilaminov so trenutno dokaj neurejene. Uporablja se več sistemov oznak. Pri širokem sistemu se uporablja najprej oznaka benzilnega dela kateri sledi pomišljaj in nato celotna oznaka fenetilamina, na primer N-BOH-2C-D je oznaka za N-(2-hidroksibenzil)-4-metil-2,5-dimetoksifenetilamin. Prav tako pa lahko za isto spojino uporabimo tudi druge različice kot so NBOH-2C-D, 2C-D-NBOH, 25D-NBOH, in podobno (zadnje čase vse bolj prevladuje ta zadnji sistem). 

NEUVRŠČENI

Poleg omenjenih štirih osnovnih strukturnih družin obstaja še nekaj izjem. Gre lahko za različice triptaminov, kjer je kateri izmed atomov v indolovem obroču zamenjan z drugim elementom (npr. N z O ali S, ali CH z N). Obstaja tudi nekaj strukturno drugačnih spojin za katere se domneva, da so psihedelične na osnovi njihovih vezavnih lastnosti na serotoninski 2A receptor ali pa na osnovi živalskih modelov zaznavanja delovanja, ni pa podatkov za njihovo dejansko delovanje na človeku. Od bolj nenavadnih je delovanje na človeku dokazano za en 3-fenilpropilamin in sicer za 2-amino-4-(4-bromo-2,5-dimetoksifenil)butan (HA-DOB). Predpostavlja se, da tudi nekateri sorodni 3-fenilpropilamini delujejo kot psihedeliki. Po nekaterih mnenjih naj bi imel psihedelično delovanje tudi N-(kinolin-2-il)piperazin (quipazine).

Od strukturno neuvrščenih psihedelikov je gotovo najbolj zanimiva farmacevtska učinkovina efavirenz. Ta se sicer uporablja za zaviranje virusa HIV, ki povzroča AIDS, vendar so uporabniki kaj kmalu odkrili, da je stranski učinek zdravila blago psihedelično stanje. Pri povišanju odmerka nad terapevtskim lahko postane ta stranski učinek kar intenziven. Pri vsem tem je zanimivo, da molekularna struktura efavirenza nima nikakršnih pričakovanih izgledov za psihedelično delovanje po trenutni SAR teoriji (sploh ni niti amin). Vseeno pa so raziskovalci odkrili, da je efavirenz šibak delni agonist na serotoninske 2A receptorje, kar pojasni njegove šibke psihedelične učinke (Neuropsychopharmacology, 38, 2373). Zanimivo bi bilo torej raziskati efavirenz kot spojino vodnico in na njeni osnovi razviti nove psihedelike, kajti kot taka je izjemno šibka (odmerek za psihedelične učinke je >600 mg).

MOLEKULARNE STRUKTURE OSTALIH HALUCINOGENOV

Od ostalih halucinogenov imajo nekateri sicer psihedelikom sorodno delovanje (npr. empatogeni, disociativi, β-karbolini), mnogi pa tudi čisto drugačno delovanje (npr. deliranti, oneirogeni). Temu primerno so tudi osnovne molekularne strukture večinoma drugačne od psihedelikov. Najočitnejše izjeme so empatogeni kot na primer MDMA, ki imajo amfetaminski skelet, tako kot nekateri psihedeliki. Vendar pa ima pri MDMA močnejše delovanje (S) enantiomer, namesto (R) enantiomera kot pri psihedelikih. To v asimetričnem okolju beljakovin pravzaprav pomeni, da so empatogeni strukturno različni od psihedelikov. Vseeno se lahko v nekaj nenavadnih učinkovinah, če so le zmesi obeh enantiomer (npr. racemati), skriva hibridno delovanje s sočasnimi psihedeličnimi in empatogenimi učinki. Takšni učinkovini sta na primer MDA in AMT.

Druga očitna izjema sta harmalin in harmin, halucinogeni učinkovini v semenih rastline Peganum harmala in steblih liane Banisteriopsis caapi (ajavaska). Ta sta alkaloida β-karbolinskega tipa v katerih strukture je vgrajen tudi triptaminski skelet, vendar imata harmalin in harmin skorajda zanemarljivo delovanje na serotoninski 2A receptor, kar se kaže tudi v tem, da nista sposobna generirati klasičnega psihedeličnega stanja zavesti. Njun dejanski mehanizem halucinogenega delovanja je slabo razumljen, saj delujeta na več receptorjev, encimov in transporterjev hkrati.

Predstavniki »pravih halucinogenov« oziroma delirantov antimuskarinskega tipa so na primer skopolamin, atropin, biperiden (»akineton«) in najpogostejši vojaški delirant 3-kinuklidinil benzilat (»BZ«). Od delirantov antihistaminičnega tipa je tipični predstavnik difenhidramin (»dramamin«). Vsi deliranti imajo lahko precej raznolike strukture, čeprav se nekaj osnovnih strukturnih zahtev in pogostejših skeletov vendarle najde (npr. estri tropan-3-ola).

Disociativi, ki delujejo prek blokiranja NMDA živčnih receptorjev, kot so to na primer ketamin, PCP in metoksetamin imajo najpogosteje 1-fenilcikloheksilaminski strukturni skelet, ali pa prostorsko sorodne skelete (npr. difenidin).

Druga dva zanimiva disociativa z delovanjem zelo različnim od česarkoli drugega sta ibogain in salvinorin A, ki pa imata čisto samosvoje strukture. Vendarle se v ibogainu najde tudi triptaminski skelet (to kaže, da njegova biosinteza izhaja iz aminokisline triptofan), vseeno pa nima znatnega delovanja na serotoninski 2A receptor. Disociativni sintetični agonisti na kappa receptorje, preko katerih deluje tudi salvinorin A in deloma tudi noribogain, imajo spet nekaj čisto različnih osnovnih strukturnih skeletov od katerih sta dva primera ICI-199,441 in enadolin.

Glavna učinkovina rdeče mušnice (Amanita muscaria) je muskimol, katerega glavni mehanizem delovanja je neposredna aktivacija GABAᴀ receptorjev. Pri nižjih odmerkih ima le sedativno delovanje, pri višjih pa povzroča nekakšno blodnjavo stanje zavesti z občasnimi vizijami v polsnu.Od halucinogenih kanabinoidov, ki delujejo prek aktivacije kanabinoidnega 1 (CB1) receptorja, je najbolj znan THC iz marihuane (Canabis indica). Znanih pa je tudi nekaj sto izumljenih kanabinoidov različnih strukturnih osnov, od katerih so najbolj poznani 3-acil-1-alkilindoli kot na primer JWH-018.

V skupino oneirogenov spet spadajo strukturno raznolike spojine, od katerih nekatere aktivirajo nikotinske receptorje (npr. citizin) ali inhibirajo encim acetilholinesterazo (npr. galantamin), medtem ko mehanizem delovanja nekaterih še ni čisto razjasnjen (npr. vitamin B6).



Spletni viri

Isomer Design

PsychonautWiki

Tyrone Slothrop: (Unfinished) Review of PIHKAL: A Chemical Love Story

Erowid: Spotlight on NBOMes: Potent Psychedelic Issues

Erowid Character Vaults:Alexander ShulginErowid Character Vaults: Darrell LemaireErowid Character Vaults: David E. NicholsErowid Character Vaults: Albert Hofmann

Literatura

PiHKAL: A Chemical Love Story
Alexander in Ann Shulgin (1991, Transform press)druga polovica knjige je dostopna spletu

TiHKAL: The Continuation
Alexander in Ann Shulgin (1997, Transform press)druga polovica knjige je dostopna spletu

The Shulgin Index, Psychedelic Phenethylamines and Related Compounds
Alexander T. Shulgin, Tania Manning, Paul F. Daley (2011, Transform Press)

Psychedelics
David Nichols
Pharmacological Reviews, 2016, 68, 264–355. DOI: 10.1124/pr.115.011478

Synthesis and Structure–Activity Relationships of N-Benzyl Phenethylamines as 5-HT2A/2C Agonists
Martin Hansen et al.
ACS Chem Neurosci., 2014, 5, 243–249. DOI: 10.1021/cn400216u

Psychedelics and the Human Receptorome
Thomas S. Ray
Plos One, 2010, 5, e9019. DOI: 10.1371/journal.pone.0009019

Hallucinogens as discriminative stimuli in animals: LSD, phenethylamines, and tryptamines
J. C. Winter
Psychopharmacology, 2009, 203, 251-263. DOI:  10.1007/s00213-008-1356-8

1-Aminomethylbenzocycloalkanes: Conformationally Restricted Hallucinogenic Phenethylamine Analogues as Functionally Selective 5-HT 2A Receptor Agonists
Thomas H. McLean et al.
J. Med. Chem., 2006, 49, 5794-5803. DOI: 10.1021/jm060656o

Hallucinogens
David Nichols
Pharmacology & Therapeutics, 2004, 101, 131–181. DOI: 10.1016/j.pharmthera.2003.11.002

Pharmacology of Hallucinogens
Richard A. Glennon
v: Handbook of Substance Abuse (ur. Ralph E. Tarter et al.), 1998, str. 217-227. DOI: 10.1007/978-1-4757-2913-9_14

Hallucinogens: An Update
NIDA Monograph 146 (ur. Geraline C. Lin in Richard A. Glennon), 1994.

Medicinal Chemistry and Structure-Activity Relationship of Hallucinogens
D. E. Nichols, R. Glennon
v: Hallucinogens: Neurochemical, behavioural and clinical perspectives. (ur. B. L. Jacobs), 1984, str. 95-142.

Indolealkylamine and Phenalkylamine Hallucinogens: A Brief Overview
Neuroscience & Biobehavioral Reviews, 1982, 6, 489-497. DOI: 10.1016/0149-7634(82)90030-6
Richard A. Glennon, John A. Rosecrans

Psychotomimetic drugs: structure-activity relationships.
Alexander T. Shulgin
v: Handbook of Psychopharmacology, Vol. 11. (ur. L. L. Iversen et al.), 1978, str. 243-333.

Hallucinogenic Agents
R. W. Brimblecombe, R.M. Pinder (1975, Butterworth-Heinemann Ltd)

Video in avdio

David Nichols - Psychedelic Science

David E. Nichols - LSD Neuroscience

Dirty Pictures 2010 - The life and work of chemist Alexander "Sasha" Shulgin

Psychedelic Salon Podcast 506 – “One Of Us”, Sasha Shulgin

Psychedelic Salon Podcast 394 – “Shulgin Farm Research Update 2013”, Paul Daley

Psychedelic Salon Podcast 173 – “How I Go About Inventing New Drugs”, Sasha Shulgin

Psychedelic Salon Podcast 022 – “Natural vs. Synthetic Psychedelic Chemicals”, Sasha Shulgin

Next
Next

Pogosta vprašanja in odgovori